今天想与大家分享的是关于土壤湿度测量系统的选择及土壤湿度和电导率同步测量的重要性;为什么要对土壤含水量进行高精度、宽时空范围的测量?为何要进行土壤湿度和电导率的同步测量?不同介电测量技术有什么区别?时域反射(TDR)的主要优势有哪些?我们一起来学习一下吧~
为何要对土壤含水量进行高精度、宽时空范围的测量?
全球水文循环和生态系统的运作取决于土壤、植被和大气之间复杂的相互作用。越来越多的证据表明,这些相互作用在调节大气条件方面发挥的作用比最初假设的要大。随着气候模型的发展,研究人员越来越意识到土壤水供应在模拟陆地表面水通量中的关键作用。不考虑降水脉冲和降水制度变化对蒸发量和生态系统总呼吸量的影响的模型,将无法准确模拟伴随的气候反应。土壤水分的时空变化会对降水等气候因素产生持久的影响,纳入亚网格尺度的土壤水分异质性可以改善全球气候模型的性能。过去,有关土壤水分的信息是通过实验室对土壤样本进行精准分析,或通过使用原位土壤水分测量仪(其中以介电测量技术为主,如电容式/FDR,TDR)进行测量。这些方法都有缺点,或是时间分辨率低或/和劳动要求高,或是购置或/和维护成本高, 抑或是环境适应性差(如高含盐量的情况)。
什么是介电测量传感器?
介电常数是物质的一种属性,特别是对于不导电的材料来说,介电常数的特征很明显。纯净的水是不导电的。介电常数量化了绝缘材料的电荷保持能力。它是存储电荷与应用电场的比率(高斯定律)。如果两块导电板(电极)被空气隔开并与电池相连,电子将在正极板上聚集,离开负极板,并在板间形成电场。这就形成了一个电子的存储机制。 每一单位电压的电荷量由板块之间的介质的介电常数所决定。如果板块浸泡在水中,储存的电子数量将增加80倍(水在室温下的相对允差为80)。因此,通过监测外加电压变化所产生的流入和流出板块的电流,可以知道板块之间介质的相对的体积电导率,由于水通常是土壤中唯一具有高介电常数的材料,我们可以估计土壤中含有多少水。围绕这一概念设计的传感器经常被称为电容式传感器,但更准确的定义是高斯式传感器,因为它们是基于高斯定律的。一些电容式传感器从结构上看不像是电容式传感器,但还是以高斯定律为基础。尽管高斯传感器比它们的前辈更可信,但它们有一个严重的缺陷,那就是它们不能克服土壤电导率(EC)带来的误差。如果我们在不导电的土壤中监测土壤湿度,那么高斯传感器会很好地工作。频域传感器(FDR)类似。
但是,当对土壤施加一点肥料或灌溉略带盐分的水时,欧姆定律所描述的电子流就会干扰测量 "电容 "电流和土壤电场的能力,而不管传感器设计中使用的是什么特定的电路方法。当土壤具有导电性时,在施加电场的情况下,电流会流经土壤。即使在板块与土壤绝缘的情况下,这种情况也会在瞬时发生。电流在土壤中产生反向场(与外加场相反),削弱了土壤中的局部场。瞬态电流的增加也会发生。电场与电荷的比率随之增加,导致严重高估了介电常数和含水量。一些高斯传感器制造商试图对他们的传感器进行电导率补偿,但土壤电导率非常依赖于含水量。这两个变量不是正交的,试图用依赖水含量的电导率测量来补偿水含量是徒劳的。
由于市场上普遍存在高斯传感器,因此在评估土壤水分传感器性能时,将测量稳定性与土壤电导率结合起来是非常重要的。传感器的电导率稳定性是重要的参数之一,比绝对精度重要得多。传感器的精度可以在现场进行校准,但由于电导率的变化,其对错误读数的敏感性是无法补偿的。高斯传感器误报的电导率的增加将被视为土壤含水量的增加,这种显然是错误的,即增加了科学相关研究的不确定性,也提高了含水量误报下农业灌溉的风险。
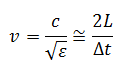
幸运的是,还有另一个基本物理定律可用于测量不受电导率影响的介电常数。这就是描述电磁波传播的安培/法拉第定律(实际上是两个定律)。电磁波的传播速度受物质的两个特性控制:介电常数和磁导率。几乎所有土壤都是非磁性的,因此土壤中的电磁波速仅受介电常数控制。电导率对电磁波速没有影响,但会使电磁波减弱。如果我们可以测量土壤中的电磁波速,我们就可以在不受土壤电导率干扰的情况下找到介电常数,但我们必须能够对发生在十亿分之一秒内的事件进行准确的时间测量,准确度和分辨率达到万亿分之一秒。我们还必须能够检测到能量首次到达的时间,即使该波可能由于土壤导电性而严重减弱。执行此操作的一种流行仪器称为时域反射仪 (TDR)。 TDR 包含一个阶跃函数发生器,可在传输线上发出瞬时电压。电压沿传输线传播(类似于沿绑在树上的绳索传播的纹波),当波到达传输线的末端时,它会反射回原点。如果我们准确测量电压阶跃返回所需的时间,我们就可以非常精确地确定介质的介电常数是多少,而与所有其他参数无关。同样,根据介电常数,我们可以估算土壤的体积水含量θ[1]。测量上升/下降时间为100-300ps的针状脉冲在特定介质中的传播速度。如果被测介质是非磁性的,且其导电率不高于0.4S/m[2],则传播速度取决于介质的介电常数ε,根据一个简化关系——

其中c是真空中的电磁波速(300 000 km/s),L是传感器的传输线的长度,Δt是开放传输线的起点和终点之间的反射时间。
上式分子中的因子2表示这是一种反射法,脉冲沿线走一遍就回来了。TDR技术中使用的传感器是一条平行的传输线,通常是以两个或三个钢棒的形式放置在被测多孔介质中。被测介质的均匀性是TDR设备正常运行的必要条件。
TDR水分测量方法的校准是一个两步程序[3]。首先,需要对传感器进行校准,以便通过确定ε = f(v)的关系将被测介质的介电常数的测量不确定性降到更低。接下来,使用土壤体积含水量的参考烘箱干燥测量值进行最终校准,这就提供了θ = f (ε)关系。
不同介电测量技术有什么区别?
介电测量技术主要包含电容/FDR测量技术、TDR测量技术,其测量结果并不都是一样的。事实上,根据其测量频率和电路设计,有些可以更像电阻传感器(因为技术落后,不在本讨论范畴内)。成功地极化水分子,同时避免极化溶解的离子,取决于这种极化发生的速度,或测量频率。其中,
- 电容传感器(电容技术)将土壤作为一个电容元件,利用土壤的电荷储存能力来计划土壤含水量。
- 频域传感器(频域技术,FDR)也将土壤作为一个电容器来测量电路中的最大谐振频率,并将谐振频率与含水量联系起来。
- TDR传感器(时域反射技术,TDR)测量电能反射波沿传输线的移动时间,移动时间与土壤的电荷储存能力和体积含水量有关。

使用更高的测量频率的传感器通常成本更高,但由于避免了溶解离子或带电粘土颗粒的影响,可以带来更高的测量精度。
在较低的频率下,介电传感器使水和离子极化,使它们对土壤中的盐分异常敏感,从而造成测量结果的不准确。测量频率越低,对盐度响应越明显;只有1GHz左右及以上的测量频率,才能称之为高性能; 但单一的高频也不一定代表高性能,这需要很好的电路设计、选材和技术补偿保证测量准确度,因此高性能的数据信号发生和采集器(高设计难度、高成本)、高品质的SMA接头(稳定可靠的连接)、高传输的同轴电缆(低噪音的高频信号传输)以及整套系统信号延迟和温度补偿的优化设计的集合,才能打造一款高性能的产品。
为何要进行土壤湿度和电导率的同步测量?
针对不同的土壤类型及不同的含盐量,不同测量原理和不同测量频率的传感器均表现出不同的依赖性,而电导率的精准测量是土壤含水量准确测量的基础。目前市面传感器能在各种土壤类型中准确测量电导率的仪器选择极少,更佳的选择是对盐分免疫性强的高频时域反射仪(TDR),即1.5GHz的TureTDR或GHzTDR。
时域反射(TDR)的主要优势
时域反射仪(TDR)是测量土壤含水量和电导率的更好方法。这两个量对各种水文过程以及土壤和大气之间的相互作用对气候预测都很重要。1980年,Topp等人报告了TDR在土壤水分测量中的首次应用,并通过实验得出了介电常数和含水量之间的基本关系。与其它土壤含水量测量方法相比,TDR的主要优势在于。
- 优异的准确度,体积含水量在1或2%以内;
- 校准要求更低--许多情况下不需要针对土壤的校准,但对于要求高精度的应用,可以进行针对土壤的校准;
- 没有与中子传感器或伽马射线衰减技术相关的辐射危险;
- 应用多点TDR传感器可以获得出色的空间和时间分辨率;
- 测量快速、无损、简单;
- 该方法能够通过自动化和多路连用或物联网提供连续测量。
“普瑞亿科”时域反射(TDR)的前世今生
北京普瑞亿科科技有限公司(“普瑞亿科”)与波兰科学院农业物理研究所(Institute of Agrophysics,IA PAS) 及其所属的E-TEST公司深度合作,对该研究所上个世纪80年代末由Malicki和Skierucha研发的带有针状脉冲信号的TDR土壤含水量测量技术进行了升级。相关工作在波兰国家研究与发展中心(NCBR)资助的两个研发项目及“普瑞亿科”立项的研发项目下进行,主要就信号的时间延迟单位和温度补偿步骤对测量准确度的影响进行优化,并就其它硬件问题如TDR传感器的设计、封装,以及电源、无线传输对系统整体性能提升进行了工艺改进。不得不提的是,我们采用的针状脉冲信号发生器与阶梯脉冲发生器相比,前者具有足够尖锐的上升和下降时间,这种窄的针脉冲信号发生器是比较容易产生的。同时,来自TDR传感器的针状脉冲反射比来自阶梯脉冲的反射更容易解释和分析;各自的针状脉冲发生器和采样头可以与土壤电隔离,与阶梯脉冲技术相比,测量系统的电子装置在更窄的带宽内工作。因此,我们的针状脉冲TDR技术更可靠。
小结
在水文、农业、生态和气象等相关领域,TDR土壤水分仪主要用于水文科学研究、土壤灌溉技术的优化、陆表水通量精细研究、或用于验证和校准卫星图像的土壤表层水分监测,以评估土壤水分对全球气候的影响。以往定制设计或商业化的TDR传感器在结构细节、材料特定校准和波形解释等方面都有全面的描述,但相对较高的价格限制了这种测量技术的应用。
“普瑞亿科”研发生产的Plover便携式和Warden分布式土壤温度、湿度和电导率测量系统均采用了1.5GHz测量频率,是真正的TDR技术,因此土壤湿度结果受盐度影响不敏感;同时,我们设计了专用的高性能数据采集器、选择了高品质的SMA接头、低噪音的同轴电缆,以及优化的信号延迟和温度补偿,为稳定的TDR系统提供了技术保证;硬件工艺的改进和IoT物联技术的嫁接以及国内高标准的生产流程,确保“普瑞亿科”是能为您提供更高性能和更适中价格TureTDR土壤温度、湿度和电导率测量解决方案的国内供应商。

拓展阅读
文章下载链接:http://www.pri-eco.com/upload/files/202106/21/1/20210621112509_Fn.pdf
Resources:
[1] Robinson D.A., Campbell C.S., Hopmans J.W., Hornbuckle B.K., Jones S.B., Knight R., Ogden F., Selker J., Wendroth O. Soil moisture measurement for ecological and hydrological water-scale observatories: a review. Vadose Zone Journal, 7(1), 358-389, 2008.
[2] Topp G.C., Zegelin S., White I. Impacts of the real and imaginary components of relative permittivity on time domain reflectometry measurements in soils. Soil Science Society of American Journal, 64, 1244-1252, 2000.
[3] Skierucha, W., Wilczek, A., Alokhina, O. Calibration of a TDR probe for low soil water content measurements. Sensors and Actuators A: Physical. 147, 544–552, 2012.
[4] Wojciech Skierucha*, Andrzej Wilczek, Agnieszka Szypłowska, Cezary Sławiński and Krzysztof Lamorski. A TDR-Based Soil Moisture Monitoring System with Simultaneous Measurement of Soil Temperature and Electrical Conductivity Sensors, 12, 13545-13566, 2012.
[5] Soil moisture sensors—How they work. Why some are not research-grade.
https://www.metergroup.com/environment/articles/tdr-fdr-capacitance-compared/
[6] https://www.e-test.eu/tdr-technique.html
[7] https://acclima.com/accurate-affordable-reliable-tdr-soil-moisture-sensor/
首页











精选实验室,品牌服务
平台担保,安全交易
7*12客服,快速响应
微测VLab,躺盈赚钱